Multi Qubit Operations and Quantum Circuits
Unit: Quantum Computing
Prerequisites
Lesson Preview
We are familiar with single qubit (pure) states, i.e. .
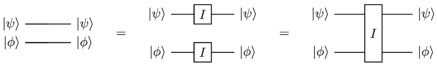
Now, consider we have two qubits, which we'll denote and . How do we represent the simplest possible operation on them? That is, the operation of doing nothing (in practice, this is far from simple, as quantum states are fragile and decay very easily. But it is theoretically simple!)
We can represent this with the following circuit diagram, the simplest multi qubit quantum circuit:

All three are equivalent ways to depict this situation.
, the identity matrix, when depicted as a box on a single wire, is , the identity matrix, acting on the single qubits individually.
When depicted by the larger box on both wires, is , the identity matrix, which acts on both qubits concurrently.
Both have the same end effect on the two qubits. We'll say more on this when we discuss the Kronecker Product of states and quantum operations.
Now, let's consider a two qubit system, say (the first qubit) and (the second qubit), and suppose each qubit can independently be in the state or .
This gives us four distinct states for the two qubits, which we write as:
- is AND is , denoted as .
- is AND is , denoted as .
- is AND is , denoted as .
- is AND is , denoted as .
These four states, , form the computational basis for a two-qubit system. They are four-dimensional unit vectors, and they form an orthonormal basis for the Hilbert space .
A two-qubit pure state can be written as a superposition of these basis states:
,
...
... continued in the full lesson.
Ready to Start Learning?
Sign up now to access the full Multi Qubit Operations and Quantum Circuits lesson and our entire curriculum!